かがくののおと 29
反応速度
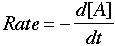
いわゆる速度は,単位時間に移動する距離である.式を用いて表現すると,速度は,
で表され,車ではkm/hという単位で,風速ではm / s で測られている.つまり,速度は位置の時間微分である. 化学反応においても,速度の取り扱いができる.単位時間に何回反応が起きたか,つまり,反応の数の時間微分である.A の濃度の減少の時間微分で表すと,反応速度は,
A + B --> C + D
化学反応の速度( Rate )は単位時間に起きる反応の数である.反応が一回起きるとAとBはそれぞれ1個減少し,CとDはそれぞれ1個増加する.起こった反応の回数は,減少した物質や生成した物質の量に等しい.
反応速度は,いずれかの分子の量の変化を測定すれば良いことになる.
図 A と B が単位時間内に衝突する確率は,A が2倍になると,確率も2倍になる.
反応をミクロ的に考える.反応が起きるためには,まず,A とBがお互いに接近し,衝突しなければならない.ここで B分子が一定の場合につい考える.Aの数が増えれば,AとBが衝突する可能性はAの数に比例して増える.
Rate ∝ Aの数
同じことは,Bについても成り立つ.したがって,反応の起きる確率はAの数とBの数の積に比例する.Rate ∝ Aの数 x Bの数
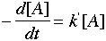
ここで考えている系は,容器を考慮に加えて,分子の数は単位体積中の分子の数である.我々が物質の量を扱う場合,通常体積モルで扱う.濃度に置き換えても,同じである.したがって,化学反応の起きる確率は,すなわち,反応速度は,反応物 Aと反応物 Bの濃度に比例する.
ここで k は速度定数とよばれる.この微分方程式を解けば,2 次反応の速度式が得られる.反応速度は単位時間当たりに起こった反応の数である.単位時間はSI単位を使えば,秒であり,反応の数はモル濃度で表す. ここで仮定を加える.A の濃度に比べて B の濃度が十分高く,反応の期間において減少する B の濃度が無視できる場合には,取り扱いを簡単にすることができる.反応速度の式は, k [B] を新たな定数として k 'とすると,
式29.7
で表され.ここで k ' は擬 1 次速度定数と呼ばれる.本来の速度定数 k は B の濃度を変えた実験によって求めることができる.式 29.7 は一次反応の速度を表す一階の微分方程式であり,変数分離法で容易にとける.
式29.8
ここでCは積分定数で,初期条件を代入することで定まる.式29.8は濃度の対数を時間に対してプロットすると,直線の傾きから,速度定数 k 'を求めることができることを示している.(もちろん直接計算することもできる) .擬一次反応の条件を満足した上で,Bの濃度のみが異なる条件下で擬一次速度定数を求めることで,二次速度定数 k を求めることができる.なお,一次速度定数と二次速度定数では単位の次元が異なることに注意すること.
活性化エネルギー
化学反応に対する温度の影響を考えてみる.一般に反応は温度が上昇すると速くなる.化学反応はアレニウスの式によると,
式29.10
で表される.ここで,A は頻度因子,E は活性化エネルギーである.この式は異なる温度での速度定数がわかれば,活性化エネルギーを求めることを示している.
アレニウスの式は,ボルツマン分布の式と同じ形をしていることが重要である.活性化エネルギーは,反応が起きる途中の,中間体になるためのエネルギーであるが,その中間体の存在する割合が,反応速度を支配していると言うことを示している.
反応速度の解析は,様々な物質が共存するような反応において,反応のメカニズムを解明する上で,重要となる.
触媒
触媒は,自分自身は変化せず,反応速度を変化させる物質である.通常は,反応を促進させる.その働きは,反応の中間状態を形成しやすくすることによる.活性化エネルギーを低下させることによって,反応速度を早くする場合や,衝突の頻度を増やす働きがある.触媒は,通常固体であり,固体表面で反応を促進させる.
周期律表の下位に属する金属が,触媒としての能力がある.これは,電子が充填されていない,d軌道やf軌道があるため,反応物が金属表面にくっつきやすくなるためである.白金は,様々な反応に対して触媒としての能力が高い.
触媒のもう一つ重要な性質は,特異的な反応である.触媒なしでは起こらない合成物が数多く知られている.身近な例としては,ポリエチレンがある.身近に見られるポリエチレンには,2種類ある.一つは,高圧ポリエチレンで,触媒を用いず合成される.高圧ポリエチレンは,不規則な構造をもつため,透明になる.ポリ袋は,透明で柔らかい,高圧ポリエチレンである.もう一つのポリエチレンは,触媒を用いて合成される,低圧ポリエチレン(高密度ポリエチレン)である.触媒によって合成される,低圧ポリエチレンは,規則的な構造をもつため,硬く,不透明である.容器などのように,形を必要とする用途に用いられている.
ミカエリス-メンテンの式 酵素反応の解析
特異的な反応を可能にすると言う点で,酵素は,理想的な触媒である.極めて選択性の高い触媒であり,速度に対する活性も高い.酵素に関する研究をする上で,ミカエリス-メンテンの式は,重要である.
酵素反応式は,次式で示される
式29.12
酵素と基質の複合体の濃度は一定になる(定常状態)とすると,
d[ES]/dt = 0
d[ES]/dt = k1[E][S] - k-1[ES]- k2[ES] = 0
式29.14
式29.15
式29.16
基質濃度に対する初期速度の関係を示す式は,
式29.17
| 前 | 次 | 化学質問箱 | 目次ページ | Copyright 2001-2008, Y.Naka. Last updated, Jan.15, 2008 |