H21-2 DD1

                  ↓



立方体の合成抵抗をR0 とすると、 で表すことができる。
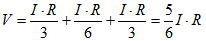
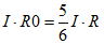
さらに、a点〜b点に流れる電流からa-b間の電圧降下を調べると  となります。

上記2式より、 ⇒  となりますので合成抵抗は、 となります。

H21-2 総合
問題の回路を下記の図のように変形してそれぞれの抵抗にかかる電圧を調べると、a-b間が8Vと求められます。