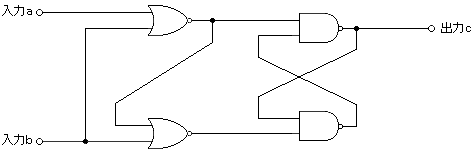
1.まず「a’」を導く。
出力「a’」は入力aと入力bのNOR出力なので下のような真理値表になる。
| a |
b |
「a’」 |
| 0 |
0 |
1 |
| 0 |
1 |
0 |
| 1 |
0 |
0 |
| 1 |
1 |
0 |
|
2.続いて「b’」を導く。
出力「b’」は上段のNOR出力「a’」と入力bとのNOR出力なので下のような真理値表になる。
| 「a’」 |
b |
「b’」 |
| 1 |
0 |
0 |
| 0 |
1 |
0 |
| 0 |
0 |
1 |
| 0 |
1 |
0 |
「1.」の真理値表で出力「a’」と入力bがそのまま2.の入力になります。 |
3.さらに「c’」を導く。
c’はNANDの出力なので、どちらかの入力に「0」があれば「1」になる。
真理値表は以下の通り。
| 「b’」 |
「c’」 |
| 0 |
1 |
| 0 |
1 |
| 1 |
? |
| 0 |
1 |
上から3番目、b’が1の時のみ、c’は確定できななくて、c’ は c の値に左右されるので、ここでは ? にしています。 |
4.「c’」が求められれば、「a’」と「c’」からcを導く。
真理値表は以下の通り。
| 「a’」 |
「c’」 |
c |
| 1 |
1 |
0 |
| 0 |
1 |
1 |
| 0 |
? |
1 |
| 0 |
1 |
1 |
(NAND回路ですので入力が( 1、1 )以外はすべて出力は「1」ですので、3段目の( 0、?)も、入力a’が0の時点で、出力は必ず「1」になります。) |
5.以上のことから入力a,bと出力cの関係を真理値表にすると。
| a |
b |
c |
| 0 |
0 |
0 |
| 0 |
1 |
1 |
| 1 |
0 |
1 |
| 1 |
1 |
1 |
となるので、図-1の回路は、OR(論理和)回路と等価であると考えることができる。 |