インピーダンスマッチング
(インピーダンス整合)
|
接続点のない回線では、線路の損失特性(1kmあたり2dB減衰っていうような感じ)によってのみ信号が減衰するが、特性インピーダンスの異なる回線が接続されているばあい、接続点で信号の反射がおこり、この減少による信号減衰が発生する。
このような場合、減衰を最小限に抑える必要があるため、回路のインピーダンス特性をあわせてやらなければならない。
このインピーダンス特性をあわせることをインピーダンスマッチング(インピーダンス整合)といい、もっとも一般的な方法として整合用トランス(マッチングトランス、変成器)を用いる場合が多い。
このトランスは、一次側のコイルと二次側のコイルとの間での相互誘導を利用して電力を伝えるものであり二つのコイルの巻き線比によって電圧やインピーダンスを変換することができます。 |
 |
マッチングトランスは左図のようにインピーダンスの違う2つの通信回線間で信号を極力ロスすることなく伝えるためのものです。
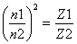
電気通信回線1のインピーダンスをZ1 、電気通信回線2のインピーダンスをZ2 、マッチングトランスの巻線比をn1 :n2 とした場合、 である時インピーダンスは整合されます。
左図の例だと、 が成り立つので、等式が成立してインピーダンス整合していることになります。 |
また、マッチングトランスは2つの電気通信回線間で巻線比により、伝える電圧を変換する変圧器の働きもします。
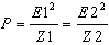
巻き線比が、n1 :n2 の整合用トランスを挿入した回路において n1 :n2 = E1 :E2 の関係が成り立つ。
が成り立ち、この時、線路の電力 が成り立つ。(このことから、上式の が成り立つ)
インピーダンスマッチングしている回路では、マッチングトランスを通ることによって電圧、電流は変化しますが、1次側から2時側へ伝わる電力は変わりません。(1次側電力がそのまま2次側電力になります。)
|
反射係数
インピーダンスマッチングしていない回路の場合はどうなるのでしょう?
線路の特性インピーダンスの異なる2つの回線をそのまま接続すると、接続点で信号の反射が起こることは、上で述べたとおりですが、その時の反射の大きさを反射係数で表します。 |
 |
電圧反射係数=
|
 |