交流回路の練習
解説
問題 1.
直流電圧を加えた時。
直流回路ではコイルにインピーダンス成分が無いので、抵抗だけの回路とみなすことができる。
ゆえに、R =60÷5=12(Ω)と求めることができる。
次に交流電圧を加えた時。
流れる電流からは、回路の合成インピーダンスを求めることができる。
Z =80÷4=20(Ω)
これをベクトル図で表すと のようになる。
これらのことから、この回路における誘導性リアクタンスXL は となる。
問題 2.
単純に公式を利用します。

問題 3.
この場合も単純に公式を使い、合成インピーダンスを求め、オームの法則を利用します。
Z =XL -XC =20-8=12(Ω)
I=18÷12=1.5(A)
問題 4.
直列回路では抵抗R に3A流れるということは、回路全体の電流が3Aということですので、間違えないようにしてください。
全電流が3Aなので、回路の合成インピーダンスは Z =30÷3=10(Ω)であることがわかります。
あとは、問題1と同じ考え方をすれば解くことができます。
この回路における誘導性リアクタンスXL は、 と求めることができます。
問題 5.
2種類の解き方で考えてみましょう。
ひとつ目の考え方。
それぞれの素子に流れる電流を求めて回路全体の電流を導き出す方法。
並列回路の場合、それぞれの素子に加わる電圧は端子ab間と同じなので、抵抗Rと容量性リアクタンスXC に流れる電流はそれぞれ、
IR =120÷12=10(A)
IC =120÷5=24(A)
となりますので、回路を流れる全電流Iは、 というように求めることができます。
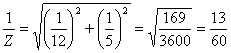
ふたつ目の考え方。
合成インピーダンスを求めてから、回路に流れる電流を求める方法。
この回路の合成インピーダンスは、 となるので、 となります。
これらの情報から、全電流 I は というように求めることができます。
これら、ふたつの解き方のどちらを用いても答はおなじになるのですが、並列回路の場合は合成インピーダンスを求める計算式の変形が難しい場合があるのでおすすめは、それぞれの素子に流れる電流を求めてから計算するひとつ目の方法です。
また、解き方が違う方法を覚えておき、検算する時に利用すれば、答はほぼ完璧に正解になると思います。
問題 6.
計算で出せるものではないので、ベクトル図を書いてみましょう。
問題は、IL に対してIC の方が大きい場合ですので、下図のようになります。

図の通りですので、電流 I は電圧V に対して、位相が進みます。
|