| 交流の並列回路 |

1.RLの並列回路 |
 |
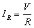
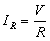
並列回路の場合、直流回路の場合と同じく、各素子にかかる電圧は同じであるので回路の電圧 V を基準にして 考え、IR と IL 、及び I をベクトルで表します。
IL は電圧 V に対して90°位相が遅れます。
直流回路では I = IR + IL が成り立ったのですが、交流回路の場合は成り立たないので注意が必要です。 |
|
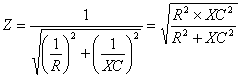
合成インピーダンスと力率
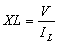
、 で抵抗と誘導性リアクタンスを表し、合成インピーダンスは で計算することができます。 |
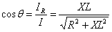
力率はcosθ で表し、 または、 でも求めることができる。
(直列回路の時の力率の求め方では求めることができませんので注意が必要です。) |

2.RCの並列回路 |

|
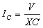
RC並列回路の場合も、回路の電圧 V を基準にして 考え、IR と IL、及び I をベクトルで表します。
IC は電圧 V に対して90°位相が進みます。
直流回路では I = IR + IC が成り立ったのですが、交流回路の場合は成り立たないので注意が必要です。 |
|
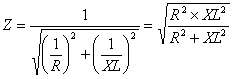
合成インピーダンスと力率
、 で抵抗と容量性リアクタンスを表し、合成インピーダンスは で計算することができます。 |
力率はcosθ で表し、 または、 でも求めることができる。
(直列回路の時の力率の求め方では求めることができませんので注意が必要です。) |

3.RLCの並列回路 |

|
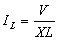
RLC複合回路の並列接続ですが、こちらも各素子にかかるの電圧は一定なので電圧 V を基準にしてIR ・IC ・ILをベクトル表示します。
IC は V に対して90°進み、IL は V に対して90°遅れます(IL と IC はちょうど逆相になる)ので互いに打ち消しあう。
|
|
合成インピーダンスと力率
、 、 で抵抗、誘導性リアクタンス、容量性リアクタンスを表し、合成インピーダンスは で計算することができます。 |
力率はcosθ で表し、 または、 でも求めることができる。
(直列回路の時の力率の求め方では求めることができませんので注意が必要です。) |
| |
 |